







Nikon AF-P DX NIKKOR 70-300mm f/4.5-6.3G ED | Telefoto Compacta e Versátil
Nikon AF-P DX NIKKOR 70-300mm f/4.5-6.3G ED Teleobjetiva Nikon
Capture imagens com alcance impressionante e clareza excepcional com a lente Nikon AF-P DX NIKKOR 70-300mm f/4.5-6.3G ED, uma teleobjetiva compacta e versátil desenvolvida para câmeras Nikon com montagem F no formato DX. Ideal para fotografia esportiva, de natureza ou retratos à distância, essa lente combina leveza, desempenho óptico avançado e um sistema de foco automático silencioso e preciso, sendo perfeita tanto para fotos quanto para vídeos. Graças ao motor de passo AF-P, a experiência de uso é suave e sem ruídos, otimizando resultados profissionais em qualquer situação.
Principais destaques da lente Nikon 70-300mm f/4.5-6.3G ED
- Alcance telefoto de 105-450mm equivalente em full-frame
- Elemento ED que minimiza aberrações cromáticas
- Motor de passo AF-P para foco automático silencioso
- Design leve com apenas 400 g, ideal para mobilidade
- Compatível com câmeras Nikon DX e mirrorless com adaptador
- Diafragma circular de 7 lâminas para bokeh suave
Vantagens da lente Nikon AF-P DX 70-300mm para fotografia e vídeo
A Nikon AF-P DX 70-300mm se destaca por sua versatilidade e portabilidade. Com design compacto e leve, é uma lente que proporciona liberdade de movimento e excelente alcance óptico. Seu motor AF-P de passos é um grande diferencial para quem busca foco automático rápido e silencioso, ideal em gravações de vídeo ou fotos discretas em ambientes com fauna.
O elemento de dispersão extra-baixa (ED) contribui para a redução de aberrações cromáticas, oferecendo nitidez superior em toda a extensão do zoom. Já o revestimento Super Integrated Coating da Nikon garante imagens com mais contraste, mesmo em situações de contraluz ou luz intensa.
Com uma distância mínima de foco de 1,1 metro e ampliação de 0,22x, também é possível fazer closes interessantes, ampliando o leque criativo do fotógrafo. A ausência de estabilização interna é compensada pelo uso com corpos de câmera que possuem estabilização, e a lente se beneficia ainda da simplicidade no manuseio, com operação via menu da câmera.
Especificações técnicas da lente Nikon AF-P DX 70-300mm
| Marca | Nikon |
| Modelo | AF-P DX NIKKOR 70-300mm f/4.5-6.3G ED |
| Tipo | Teleobjetiva Zoom |
| Distância Focal | 70-300mm (equivalente a 105-450mm em full-frame) |
| Abertura | f/4.5-6.3 (máxima), f/32 (mínima) |
| Montagem | Nikon F (formato DX) |
| Formato | APS-C |
| Ângulo de Visão | 22°50' a 5°20' |
| Distância Mínima de Foco | 1,1 m |
| Ampliação Máxima | 0,22x |
| Design Óptico | 14 elementos em 10 grupos |
| Diafragma | 7 lâminas arredondadas |
| Tipo de Foco | Autofoco (AF-P, motor de passo) |
| Estabilização de Imagem | Não |
| Tamanho do Filtro | 58 mm |
| Dimensões | 72 mm x 125 mm |
| Peso | 400 g |
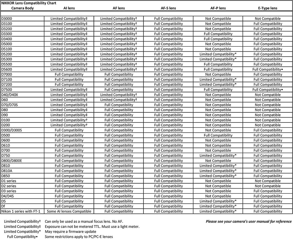
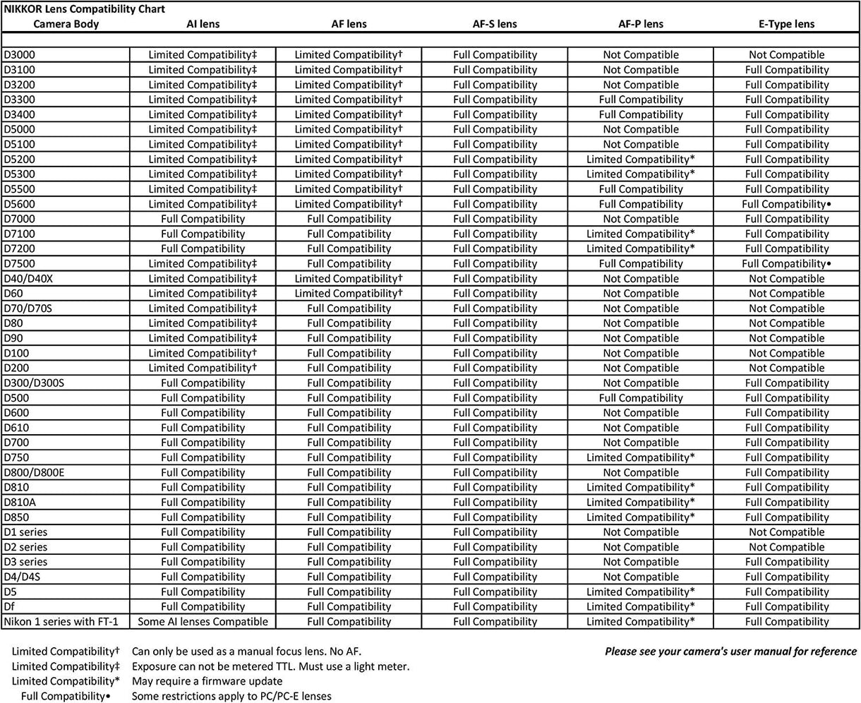
Compatibilidade com câmeras Nikon DX e FX
- Compatibilidade total: D500, D7500, D5600, D5500, D3500, D3400, D850 (modo DX), câmeras mirrorless Z com adaptador FTZ
- Compatível com limitações: D7200, D7100, D5300, D5200, D3300, D810/D800 (modo DX), D750, D600, D5, Df (modo DX)
- Pode requerer atualização de firmware em modelos mais antigos
Conteúdo da embalagem
- 1x Lente Nikon AF-P DX NIKKOR 70-300mm f/4.5-6.3G ED
- 1x Tampa frontal Nikon 58mm (Snap-On)
- 1x Tampa traseira da lente Nikon


